FAG Bearing

241/750-B-K30-MB FAG Spherical Roller Bearings

FAG Bearings

Spherical roller bearings

With cylindrical or tapered bore

Split

Triple ring bearings

Get A Quote
Contact Us
FAG bearing various selection , welcome inquiry online or email me directly to : info@cmtgbearing.com.

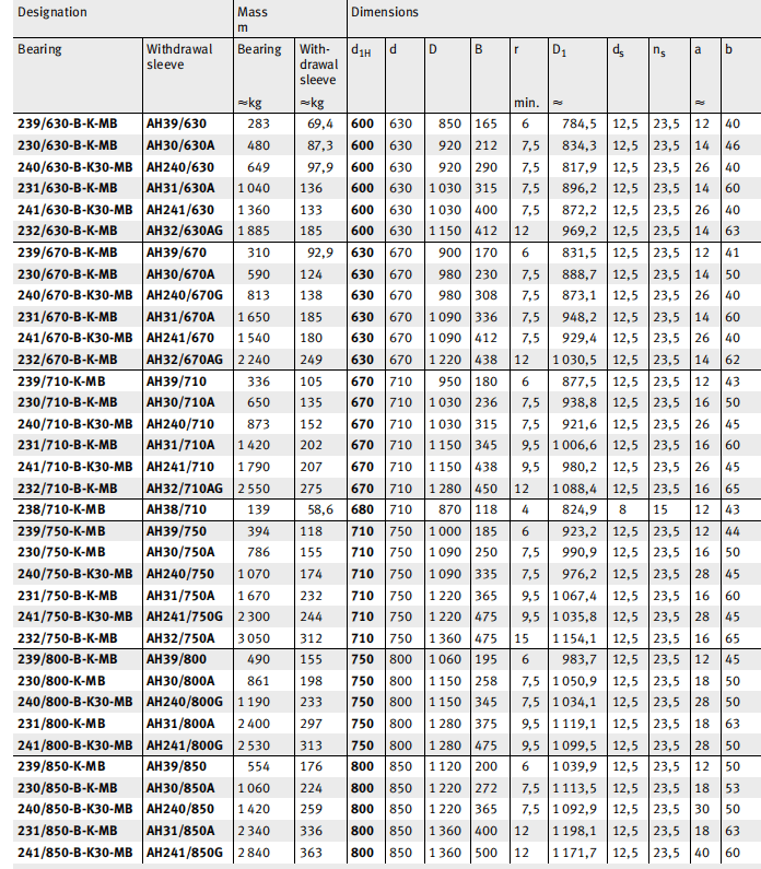
DesignationMass
m
Dimensions
Bearing
Withdrawal
sleeve
Bearing

≈kg

With-
drawal
sleeve
≈kg
dHdDB
239/630-B-K-MB
230/630-B-K-MB
AH39/630
AH30/630A
283
480
69,4
87,3
600
600
630
630
850
920
165
212
240/630-B-K30-MBAH240/630649979600630920290
231/630-B-K-MBAH31/630A10401366006301030315
241/630-B-K30-MBAH241/63013601336006301030400
232/630-B-K-MBAH32/630AG18851856006301150412
239/670-B-K-MBAH39/670310929630670900
980
170
230
230/670-B-K-MBAH30/670A590124630670
240/670-B-K30-MBAH240/670G813138630670980308
231/670-B-K-MBAH31/670A16501856306701090336
241/670-B-K30-MBAH241/67015401806306701090412
232/670-B-K-MBAH32/670AG22402496306701220438
239/710-K-MBAH39/710336105670710950180
230/710-B-K-MBAH30/710A6501356707101030236
240/710-B-K30-MBAH240/7108731526707101030315
231/710-B-K-MBAH31/710A14202026707101150345
241/710-B-K30-MBAH241/71017902076707101150438
232/710-B-K-MBAH32/710AG25502756707101280450
238/710-K-MBAH38/710139586680710870118
239/750-K-MBAH39/7503941187107501000185
230/750-K-MBAH30/750A7861557107501090250
240/750-B-K30-MBAH240/75010701747107501090335
231/750-B-K-MBAH31/750A16702327107501220365
241/750-B-K30-MBAH241/750G23002447107501220475
232/750-B-K-MBAH32/750A3.053127107501360475
239/800-B-K-MBAH39/8004901557508001060195
230/800-K-MBAH30/800A8611987508001150258
240/800-B-K30-MBAH240/800G11902337508001150345
231/800-K-MBAH31/800A24002977508001280375
241/800-B-K30-MBAH241/800G25303137508001280475
239/850-K-MB
230/850-B-K-MB
240/850-B-K30-MB
AH39/8505541768008501120200
AH30/850A10602248008501220272
AH240/85014202598008501220365
231/850-B-K-MBAH31/850A23403368008501360400
241/850-B-K30-MBAH241/850G28403638008501360500

 

CMTG BEARING CO.,LIMITED.  has been engaged in bearing industry for many years, we provide a wide selections of brands, including FAG bearingSKF bearing,NSK bearing,Nachi bearing, TIMKEN bearing, THK Linear Guide and Linear Block …ect.

Brand service including SKF FAG INA TIMKEN NSK NTN NACHI THK IKO…

Bearing typies including standard bearing and non-standard bearings, linear bearings, automotive bearings, large bearings, railway bearings,spherical plain bearings, high temperature,super-precision bearings, as well as some rare types customized to your need.

FAST DELIVERY, FREE SAMPLES, BEST SERVICES…

Contact us if any bearing in demand . we will check and revert ASAP.

 

Product Inquiry Form

Warmly welcome your inquiry.

Custom tab

可以自由添加不限数量的Tabs内容,支持按照产品分类、标签应用设置的内容,也可以在单个产品页面独立添加所需的tab,支持排序。

Scroll to Top